鉅大鋰電 | 點擊量:0次 | 2018年08月08日
充電倍率對鋰離子電池衰降有哪些影響因素?
影響鋰離子電池壽命的影響因素很多,使用溫度、充放電電流、充放電截止電壓等因素都會影響鋰離子電池的衰降速度。
鋰離子電池在使用過程中隨著充放電次數的增加,容量逐漸降低,也就是我們所說的衰降,直觀的感受就是電量越來越不夠用了。好比我們的手機,剛剛買來的時候,充滿一次電能夠使用一整天,但是隨著我們使用可能充滿電就只能支撐半天的使用了,這就是鋰離子電池在使用中容量衰降了,這對于消費電子產品這種更新換代的比較快的產品還比較好解決,在電池容量衰降過大之前,可能我們就已經更換新的手機了,但是對于電動車這種使用壽命較長的耐用產品來說就不那么好解決了,一般來說汽車的使用壽命可達10年左右,這期間可能要進行1000次到2000次左右的充電(假設每隔一天進行一次充電),為了滿足消費者對電動汽車的使用需求,就必須對電動汽車的鋰離子電池的壽命提出一定的要求。

影響鋰離子電池壽命的影響因素很多,使用溫度、充放電電流、充放電截止電壓等因素都會影響鋰離子電池的衰降速度。造成鋰離子電池容量衰降的機理也可以分為三類:內阻和極化增加、正負極活性物質損失、Li損失,不同的外部因素對這三者的影響也各不相同。例如LiFePO4材料的電池一般來說具有非常好的循環性能,但是美國德州大學阿靈頓分校的DerekN.Wong等研究發現使用條件對其循環壽命有著重要的影響,當DerekN.Wong分別對26650型號的LiFePO4電池進行15C脈沖放電和15C連續放電,兩種放電制度對于LiFePO4電池具有完全不同的影響。15C脈沖放電的磷酸鐵鋰電池容量衰降非常快,40次后就無法進行15C放電,但是仍然能夠進行1C放電,1C放電的衰降速率為6%/20次。而15C連續放電電池容量衰降較慢,60次以后仍然能夠進行15C放電,但是1C倍率的衰降速率要快于15C脈沖放電,達到14%/20次。機理研究顯示,15C脈沖放電的電池在負極的SEI膜中含有更多的LiF,而LiF對鋰離子擴散的阻礙更大,使得電池的Li+擴散阻抗和電荷交換阻抗迅速增加,從而使得電池在充放電過程中極化電壓過大,從而導致LiFePO4大電流放電能力迅速下降。

鋰離子電池的放電制度很大程度上依賴于使用者,好的放電制度對于有的使用者而言并不一定適用。但是充電制度則主要是設計者進行控制,因此對于充電制度對電池壽命衰降的影響的研究,能夠更好的指導我們對鋰離子電池的設計。北京交通大學的YangGao等針對不同的充電制度對鋰離子電池壽命衰降的影響,并研究了其作用機理,提出了鋰離子電池的壽命衰降模型。YangGao的研究顯示,當充電電流和截止電壓超過一定的數值時,鋰離子電池的衰降將被極大的加速,為了降低鋰離子電池的衰降速率,需要針對不同的體系,選擇合適的充放電電流和截止電壓。
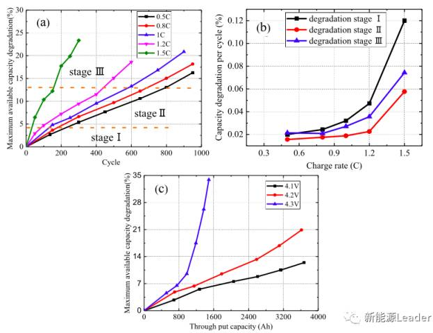
測試中YangGao采用了商用18650電池,正極材料為LiCoO2,負極材料為石墨,測試了不同的充電電流對電池衰降速率的影響,結果如下圖所示。從下圖a中我們可以看到,充電電流對于鋰離子電池衰降速度具有極大的影響,在0.5C充電倍率下,在前150次循環電池的衰降速度為0.020%/循環,在150次-800次則穩定為0.0156%/循環,800次以后為0.0214%/循環。而0.8C充電倍率下,電池在前150次,衰降速度為0.0243%/循環,150次-800次為0.175%/循環,800次以后為0.0209%/循環。對于1C倍率充電,前150次衰降速率為0.032%/循環,150次-600次衰降速率為0.0188%/循環,600次以后衰降速度為0.0271%/循環。1.2C充電,前100次衰降速度為0.0472%/循環,100次-400次衰阿醬速度為0.0226%/循環,400次以后衰降速度為0.0356%/循環。1.5C倍率充電與其他倍率充電的電池具有很大的不同,平均衰減速度為0.078%/循環,遠遠快于其他倍率下充電的電池。從上述數據可以看到,隨著充電的倍率的加大,鋰離子電池的衰降速率也在快速增加,并且從曲線的斜率來看,電池的衰降速度存在三個不同的階段,前期衰降速度較快的階段(階段1),中間衰降速度較慢的穩定階段(階段2),和后期的衰降速率加速階段(階段3)。針對三個階段電池的衰降機理的研究認為,階段1可能是因為電池SEI膜生長需要消耗一部分Li+,因此衰降速度較快。在階段2隨著SEI膜結構的穩定,內部較為穩定,因此衰降速度較慢,在階段3隨著電池老化,開始發生活性物質損失,電極活性界面減少,導致電池對于電流十分敏感。圖C是針對不同的截止電壓對電池衰降速度影響的實驗,從實驗結果可以看到,當把充電截止電壓提高到4.3V時會導致電池的循環性能急劇惡化,降低充電截止電壓可以有效的改善電池的循環性能。

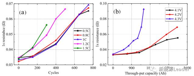
對電池的動態內阻分析如下圖所示,從圖a測試結果來看,當充電電流小于1C時,電池動態內阻隨著電池循環的變化趨勢幾乎時一樣的,但是當充電電流超過1C時,電池動態內阻增加速度會隨著充電速率的增加而快速增加。從圖b的測試結果來看,當充電截止電壓為4.3V時,電池動態內阻增加非常迅速表明高截止電壓會惡化電池的動力學條件,截止電壓為4.1V和4.2V時電池動態內阻增加較為緩慢。

從上述分析我們可以注意到,無論是充電電流還是充電截止電壓都存在一個值,當充電電流或者電壓超過這個值時就會導致電池衰降加速,對于上述電池這個值是1C和4.2V,當充電電流和截止電壓超過這個值后就會加速電池的衰降,當小于這個值時,提高充電電流和截止電壓并不會顯著的增加電池的衰降速度。對于充電電流和截止電壓對電池衰降速度影響的機理研究顯示,當充電電流低于1C時主要影響的是正負極活性物質損失,而截止電壓低于4.2V時影響的主要是Li損失,當充電電流和截止電壓高于這個值時,則會顯著的加速正負極活性物質損失和Li損失。










